|
1 |
|
|
|
A |
|
|
|
B |
45 |
|
|
C |
|
|
|
D |
360 |
|
|
E |
|
|
|
2 |
Pernyataan berikut yang tidak benar adalah…. |
|
|
A |
|
|
|
B |
|
|
|
C |
|
|
|
D |
|
|
|
E |
|
|
|
3 |
|
|
|
A |
|
|
|
B |
|
|
|
C |
|
|
|
D |
|
|
|
E |
|
|
|
4 |
Penyelesaian dari persamaan eksponen |
|
|
A |
-1 |
|
|
B |
1 |
|
|
C |
-5 |
|
|
D |
5 |
|
|
E |
2 |
|
|
5 |
Hasil dari |
|
|
A |
2 |
|
|
B |
4 |
|
|
C |
-4 |
|
|
D |
7 |
|
|
E |
3 |
|
|
Seorang atlet berlari di lintasan yang panjangnya merupakan hasil penjumlahan dua jarak: yang pertama sepanjang Karena kedua jarak memiliki bentuk akar yang sejenis, pelatih dapat menjumlahkannya langsung sebagai bentuk akar. Total jarak yang ditempuh atlet adalah … |
||
|
A |
|
|
|
B |
|
|
|
C |
|
|
|
D |
|
|
|
E |
|
|
|
Seorang arsitek sedang menghitung rasio antara tinggi dan panjang sebuah tiang dekorasi yang akan dipasang di sebuah gedung. Nilai yang didapat adalah Arsitek tersebut meminta bantuan untuk merasionalkan bentuk tersebut agar sesuai dengan standar laporan. Bentuk rasional dari akar tersebut adalah … |
||
|
A |
|
|
|
B |
|
|
|
C |
|
|
|
D |
|
|
|
E |
|
|
|
Bentuk sederhana dari |
||
|
A |
|
|
|
B |
|
|
|
C |
|
|
|
D |
|
|
|
E |
|
|
|
|
||
|
A |
|
|
|
B |
|
|
|
C |
|
|
|
D |
|
|
|
E |
|
|
|
|
||
|
A |
3 |
|
|
B |
2 |
|
|
C |
1 |
|
|
D |
4 |
|
|
E |
5 |
|
|
Jika log 2 = a dan log 3 = b, maka nilai dari log 72 adalah… |
||
|
A |
3a + 2b |
|
|
B |
2a + 3b |
|
|
C |
3a + b |
|
|
D |
2a + 2b |
|
|
E |
3a – 2b |
|
|
|
||
|
A |
12 |
|
|
B |
13 |
|
|
C |
10 |
|
|
D |
15 |
|
|
E |
21 |
|
|
|
||
|
A |
4 |
|
|
B |
-2 |
|
|
C |
3 |
|
|
D |
6 |
|
|
E |
-6 |
|
|
Suatu pabrik roti membuat 2 jenis roti. Jenis pertama membutuhkan 100 g tepung dan 200 g mentega. Roti jenis lain membutuhkan 150 g tepung dan 100 g mentega. Jika tersedia tepung 1,5 kg dan mentega 2 kg, sedangkan bahan-bahan lain cukup tersedia. Berdasarkan permasalahan di atas, bentuk model matematika yang tepat adalah …. |
||
|
A |
|
|
|
B |
|
|
|
C |
|
|
|
D |
|
|
|
E |
|
|
|
Daerah himpunan penyelesaian (daerah arsiran) dari pertidaksamaan linear adalah … |
||
|
A |
|
|
|
B |
|
|
|
C |
|
|
|
D |
|
|
|
E |
|
|
|
Sistem pertidaksamaan untuk daerah yang diarsir pada gambar di bawah adalah …
|
||
|
A |
|
|
|
B |
|
|
|
C |
|
|
|
D |
|
|
|
E |
|
|
|
Diantara bentuk berikut manakah yang termasuk pertidaksamaan linier dua variabel? |
||
|
A |
x + y = 4 |
|
|
B |
x – y ≤ 4 |
|
|
C |
|
|
|
D |
|
|
|
E |
|
|
|
Daerah penyelesaian dari system pertidaksamaan pada gambar di atas adalah… |
||
|
A |
I |
|
|
B |
II |
|
|
C |
III |
|
|
D |
IV |
|
|
E |
V |
|
|
|
||
|
A |
15 |
|
|
B |
16 |
|
|
C |
17 |
|
|
D |
18 |
|
|
E |
19 |
|
|
Himpunan penyelesaian dari persamaan kuadrat 3x2 – 5x – 2 = 0 adalah …. |
||
|
A |
(-2, 1/3) |
|
|
B |
(-2, -3) |
|
|
C |
(2, -1/3) |
|
|
D |
(3, 2) |
|
|
E |
(1/3, 2) |
|
|
|
||
|
A |
Nyata dan berlainan |
|
|
B |
Nyata dan kembar |
|
|
C |
Tidak nyata |
|
|
D |
Nyata dan sama |
|
|
E |
Kompleks |
|
|
Nilai p yang memenuhi agar persamaan kuadrat memiliki akar kembar adalah… |
||
|
A |
3 |
|
|
B |
-3 |
|
|
C |
1 |
|
|
D |
-1 |
|
|
E |
2 |
|
|
|
||
|
A |
|
|
|
B |
|
|
|
C |
|
|
|
D |
|
|
|
E |
|
|
|
Persamaan kuadrat yang akar-akarnya 3 dan 4 adalah… |
||
|
A |
|
|
|
B |
|
|
|
C |
|
|
|
D |
|
|
|
E |
|
|
|
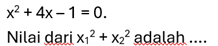
Jika x1 dan x2 adalah akar-akar dari persamaan kuadarat
|
||
|
A |
16 |
|
|
B |
-16 |
|
|
C |
18 |
|
|
D |
-18 |
|
|
E |
5 |
|
|
|
||
|
A |
|
|
|
B |
|
|
|
C |
|
|
|
D |
|
|
|
E |
|
|
|
|
||
|
A |
15 |
|
|
B |
49 |
|
|
C |
82 |
|
|
D |
87 |
|
|
E |
94 |
|
|
|
||
|
A |
|
|
|
B |
|
|
|
C |
|
|
|
D |
|
|
|
E |
|
|
|
|
||
|
A |
-4 |
|
|
B |
4 |
|
|
C |
8 |
|
|
D |
-9 |
|
|
E |
-8 |
|
|
|
||
|
A |
(1, 3 ) |
|
|
B |
(1, 5) |
|
|
C |
(1, 7) |
|
|
D |
(2, 5) |
|
|
E |
(2, 7) |
|















adalah…
adalah…
meter, dan yang kedua sepanjang
meter. Pelatih ingin mengetahui total jarak yang ditempuh atlet dalam bentuk akar sederhana.




. Namun, laporan resmi gedung mewajibkan semua nilai matematika ditulis tanpa akar di penyebut.




adalah…































































