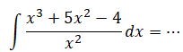
|
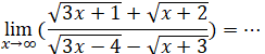
1 |
|
|
|
A |
A.2 |
|
|
B |
|
|
|
C |
|
|
|
D |
|
|
|
E |
|
|
|
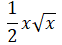
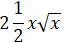
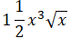
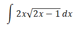
2 |
|
|
|
A |
-2 |
|
|
B |
-1 |
|
|
C |
0 |
|
|
D |
1 |
|
|
E |
2 |
|
|
3 |
|
|
|
A |
2 |
|
|
B |
1 |
|
|
C |
0 |
|
|
D |
-1 |
|
|
E |
-2 |
|
|
4 |
|
|
|
A |
|
|
|
B |
|
|
|
C |
|
|
|
D |
|
|
|
E |
|
|
|
5 |
|
|
|
A |
0 |
|
|
B |
0,25 |
|
|
C |
0,5 |
|
|
D |
4,5 |
|
|
E |
|
|
|
|
||
|
A |
3 |
|
|
B |
5 |
|
|
C |
6 |
|
|
D |
8 |
|
|
E |
9 |
|
|
|
||
|
A |
1 |
|
|
B |
|
|
|
C |
0 |
|
|
D |
|
|
|
E |
-1 |
|
|
|
||
|
A |
kontinu di x=-2 |
|
|
B |
kontinu di x-1 |
|
|
C |
|
|
|
D |
diskontinu di x=-2 |
|
|
E |
diskontinu di x=-1 |
|
|
|
||
|
A |
x=1 dan y=1 |
|
|
B |
X=4 dan y=5 |
|
|
C |
X=-1 dan y=1 |
|
|
D |
X=-5 dan y=4 |
|
|
E |
X=5 dan y=4 |
|
|
|
||
|
A |
|
|
|
B |
|
|
|
C |
|
|
|
D |
|
|
|
E |
|
|
|
|
||
|
A |
|
|
|
B |
|
|
|
C |
|
|
|
D |
|
|
|
E |
|
|
|
|
||
|
A |
0 |
|
|
B |
1 |
|
|
C |
2 |
|
|
D |
3 |
|
|
E |
4 |
|
|
|
||
|
A |
|
|
|
B |
|
|
|
C |
|
|
|
D |
|
|
|
E |
|
|
|
|
||
|
A |
y=5x-1 |
|
|
B |
y=5x+1 |
|
|
C |
y=5x-3 |
|
|
D |
y= 5x+3 |
|
|
E |
|
|
|
|
||
|
A |
|
|
|
B |
|
|
|
C |
|
|
|
D |
|
|
|
E |
|
|
|
|
||
|
A |
maksimum (2,3) |
|
|
B |
minimum(2,3) |
|
|
C |
belok(2,3) |
|
|
D |
maksimum(3,2) |
|
|
E |
minimum (3,2) |
|
|
|
||
|
A |
25 buah |
|
|
B |
20 buah |
|
|
C |
15 buah |
|
|
D |
13 buah |
|
|
E |
10 buah |
|
|
|
||
|
A |
Sin 2x |
|
|
B |
Cos 2x |
|
|
C |
-2 sin 2x |
|
|
D |
-2 cos 2x |
|
|
E |
-2 sinx |
|
|
|
||
|
A |
|
|
|
B |
|
|
|
C |
|
|
|
D |
|
|
|
E |
|
|
|
|
||
|
A |
3 dan -1 |
|
|
B |
-2 dan 1 |
|
|
C |
2 dan -1 |
|
|
D |
1 dan -3 |
|
|
E |
3 dan 1 |
|
|
|
||
|
A |
|
|
|
B |
|
|
|
C |
|
|
|
D |
|
|
|
E |
|
|
|
|
||
|
A |
|
|
|
B |
|
|
|
C |
|
|
|
D |
|
|
|
E |
|
|
|
|
||
|
A |
|
|
|
B |
|
|
|
C |
|
|
|
D |
|
|
|
E |
|
|
|
|
||
|
A |
|
|
|
B |
|
|
|
C |
|
|
|
D |
|
|
|
E |
|
|
|
|
||
|
A |
|
|
|
B |
|
|
|
C |
|
|
|
D |
|
|
|
E |
|
|
|
|
||
|
A |
|
|
|
B |
|
|
|
C |
|
|
|
D |
|
|
|
E |
|
|
|
|
||
|
A |
|
|
|
B |
|
|
|
C |
|
|
|
D |
|
|
|
E |
|
|
|
|
||
|
A |
|
|
|
B |
|
|
|
C |
|
|
|
D |
|
|
|
E |
|
|
|
|
||
|
A |
|
|
|
B |
|
|
|
C |
|
|
|
D |
|
|
|
E |
|
|
|
|
||
|
A |
|
|
|
B |
|
|
|
C |
|
|
|
D |
|
|
|
E |
|
|






















































































































