|
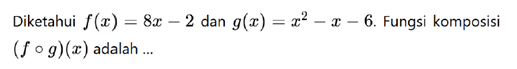
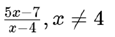
1 |
|
|
|
A |
|
|
|
B |
|
|
|
C |
|
|
|
D |
|
|
|
E |
|
|
|
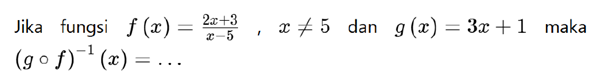
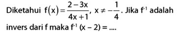
2 |
|
|
|
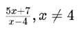
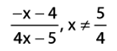
A |
|
|
|
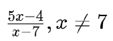
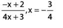
B |
|
|
|
C |
|
|
|
D |
|
|
|
E |
|
|
|
3 |
|
|
|
A |
1 |
|
|
B |
2 |
|
|
C |
3 |
|
|
D |
6 |
|
|
E |
9 |
|
|
4 |
|
|
|
A |
|
|
|
B |
|
|
|
C |
|
|
|
D |
|
|
|
E |
|
|
|
5 |
|
|
|
A |
-6 |
|
|
B |
-6/5 |
|
|
C |
0 |
|
|
D |
6/5 |
|
|
E |
6 |
|
|
|
||
|
A |
|
|
|
B |
|
|
|
C |
|
|
|
D |
|
|
|
E |
|
|
|
|
||
|
A |
30 |
|
|
B |
60 |
|
|
C |
90 |
|
|
D |
120 |
|
|
E |
150 |
|
|
|
||
|
A |
-6 |
|
|
B |
-3 |
|
|
C |
3 |
|
|
D |
3 atau -3 |
|
|
E |
6 atau -6 |
|
|
|
||
|
A |
5/2 |
|
|
B |
7/6 |
|
|
C |
1 |
|
|
D |
½ |
|
|
E |
1/6 |
|
|
|
||
|
A |
-82 |
|
|
B |
-81 |
|
|
C |
78 |
|
|
D |
80 |
|
|
E |
86 |
|
|
|
||
|
A |
|
|
|
B |
|
|
|
C |
|
|
|
D |
|
|
|
E |
|
|
|
|
||
|
A |
65 |
|
|
B |
75 |
|
|
C |
85 |
|
|
D |
95 |
|
|
E |
105 |
|
|
|
||
|
A |
Rp. 2.450.000,00 |
|
|
B |
Rp. 2.400.000,00 |
|
|
C |
Rp. 2.350.000,00 |
|
|
D |
Rp. 2.300.000,00 |
|
|
E |
Rp. 2.250.000,00 |
|
|
|
||
|
A |
41,4 ton |
|
|
B |
42,4 ton |
|
|
C |
43,4 ton |
|
|
D |
44,4 ton |
|
|
E |
45,4 ton |
|
|
|
||
|
A |
|
|
|
B |
|
|
|
C |
|
|
|
D |
|
|
|
E |
|
|
|
|
||
|
A |
150 |
|
|
B |
120 |
|
|
C |
90 |
|
|
D |
60 |
|
|
E |
30 |
|
|
|
||
|
A |
|
|
|
B |
|
|
|
C |
|
|
|
D |
|
|
|
E |
|
|
|
Besar sudut BCD adalah …. |
||
|
A |
20 |
|
|
B |
54 |
|
|
C |
62 |
|
|
D |
72 |
|
|
E |
108 |
|
|
|
||
|
A |
25 |
|
|
B |
35 |
|
|
C |
52 |
|
|
D |
55 |
|
|
E |
56 |
|
|
|
||
|
A |
150 |
|
|
B |
462 |
|
|
C |
1386 |
|
|
D |
2567 |
|
|
E |
2568 |
|
|
|
||
|
A |
|
|
|
B |
|
|
|
C |
|
|
|
D |
|
|
|
E |
|
|
|
|
||
|
A |
8.600 |
|
|
B |
860 |
|
|
C |
86 |
|
|
D |
8,6 |
|
|
E |
0,86 |
|
|
|
||
|
A |
Rp 6.600.000,00 |
|
|
B |
Rp 9.400.000,00 |
|
|
C |
Rp 12.200.000,00 |
|
|
D |
Rp 23.100.000,00 |
|
|
E |
Rp 24.100.000,00 |
|
|
|
||
|
A |
|
|
|
B |
|
|
|
C |
|
|
|
D |
|
|
|
E |
|
|
|
|
||
|
A |
|
|
|
B |
|
|
|
C |
|
|
|
D |
|
|
|
E |
|
|
|
Pada lingkaran yang berpusat di O, titik P berada di luar lingkaran. PA dan PB adalah garis singgung dengan PA = 20 cm dan PO = 25 cm. panjang tali busur AB adalah …. cm |
||
|
A |
12 |
|
|
B |
18,75 |
|
|
C |
24 |
|
|
D |
48 |
|
|
E |
50 |
|
|
|
||
|
A |
|
|
|
B |
|
|
|
C |
|
|
|
D |
|
|
|
E |
|
|
|
|
||
|
A |
5 |
|
|
B |
6 |
|
|
C |
7 |
|
|
D |
8 |
|
|
E |
9 |
|
|
|
||
|
A |
10 cm |
|
|
B |
25 cm |
|
|
C |
26 cm |
|
|
D |
31 cm |
|
|
E |
32 cm |
|
|
|
||
|
A |
16 cm |
|
|
B |
24 cm |
|
|
C |
28 cm |
|
|
D |
30 cm |
|
|
E |
32 cm |
|



















































































