|
1 |
|
|
|
A |
|
|
|
B |
|
|
|
C |
|
|
|
D |
|
|
|
E |
|
|
|
2 |
|
|
|
A |
2 |
|
|
B |
3 |
|
|
C |
|
|
|
D |
5 |
|
|
E |
|
|
|
3 |
Momen inersia bola pejal poros seperti gambar di bawah ini adalah…
|
|
|
A |
|
|
|
B |
|
|
|
C |
|
|
|
D |
|
|
|
E |
|
|
|
4 |
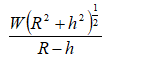
Sebuah roda akan dinaikkan pada anak tangga seperti pada gambar di bawah ini.
Bila jari-jari = R, berat roda = W, tinggi anak tangga = h, maka gaya F minimum yang dibutuhkan agar roda tersebut dapat naik adalah … |
|
|
A |
|
|
|
B |
|
|
|
C |
|
|
|
D |
|
|
|
E |
|
|
|
5 |
Tangga AB homogen panjang 5 m, beratnya 200 N bersandar pada dinding licin dan lantai kasar. Seseorang yang beratnya 600 N dapat menaiki tangga sampai sejauh 2,5 m. Koefisien gesek statis antara lantai dan tangga tepat sebelum tangga tergelincir adalah …
|
|
|
A |
0,170 |
|
|
B |
0,200 |
|
|
C |
0,230 |
|
|
D |
0,250 |
|
|
E |
0,375 |
|
|
Perhatikan gambar di bawah ini.
Perbandingan momen inersia jika sistem diputar terhadap sumbu X dan Y adalah … |
||
|
A |
|
|
|
B |
|
|
|
C |
|
|
|
D |
|
|
|
E |
|
|
|
Perhatikan gambar di bawah ini.
Pernyataan yang benar berkaitan dengan gerak benda A dan B adalah … |
||
|
A |
(1) |
|
|
B |
(2) |
|
|
C |
(1), (3) |
|
|
D |
(1), (2) |
|
|
E |
(2), (3) |
|
|
Perhatikan gambar dibawah ini.
Jika bola A dan B mengalami tumbukan lenting sempurna, besar kecepatan bola A dan energi kinetiknya setelah tumbukan adalah … |
||
|
A |
8 m/s ke kiri dan 3,2 J |
|
|
B |
8 m/s ke kiri dan 5 J |
|
|
C |
8 m/s ke kanan dan 5 J |
|
|
D |
10 m/s ke kiri dan 3,2 J |
|
|
E |
10 m/s ke kanan dan 3,2 J |
|
|
Bola bermassa 20 gram dilempar dengan kecepatan |
||
|
A |
0,24 Ns |
|
|
B |
0,12 Ns |
|
|
C |
0,08 Ns |
|
|
D |
0,06 Ns |
|
|
E |
0,04 Ns |
|
|
Mobil A dan B terpisah sejauh 120 m. Kedua mobil bergerak saling mendekati dengan kecepatan konstan masing-masing 4 m/s dan 6 m/s. Jika mobil A berangkat 5 detik lebih dulu, waktu dan tempat saat berpapasan kedua mobil tersebut adalah … |
||
|
A |
10 sekon dan |
|
|
B |
15 sekon dan |
|
|
C |
15 sekon dan |
|
|
D |
15 sekon dan |
|
|
E |
20 sekon dan |
|
|
Grafik berikut ini menggambarkan hubungan posisi terhadap waktu dari Gerakan dua benda
Dari grafik dapat diketahui bahwa … |
||
|
A |
Kedua benda bergerak lurus berubah beraturan |
|
|
B |
Kedua benda bertemu di titik acuan |
|
|
C |
Kedua benda akan bersusulan |
|
|
D |
Laju I > laju II |
|
|
E |
Percepatan benda I < percepatan benda II |
|
|
Seseorang mengendarai sepeda motor dengan kelajuan 81 km/jam. Pengendara motor melihat tukang becak ditengan jalan yang berjarak 150 m darinya sehingga mengerem sepeda motor dengan segera. Apabila perlambatan maksimum saat pengendara motor mengerem adalah |
||
|
A |
Motor tepat berhenti di samping becak |
|
|
B |
Motor berhenti setelah menabrak becak |
|
|
C |
Motor berhenti sewaktu menabrak becak |
|
|
D |
Motor berhenti pada jarak 131,25 m di depan becak |
|
|
E |
Motor berhenti pada jarak 48,75 m di depan becak |
|
|
Sebuah benda yang awalnya diam dipercepat dalam suatu lintasan melingkar berjari-jari 3 meter menurut persamaan |
||
|
A |
20 rad |
|
|
B |
25 rad |
|
|
C |
27 rad |
|
|
D |
30 rad |
|
|
E |
32 rad |
|
|
|
||
|
A |
20 |
|
|
B |
15 |
|
|
C |
10 |
|
|
D |
5 |
|
|
E |
30 |
|
|
Sebuah peluru ditembakkan dengan sudut elevasi |
||
|
A |
1 |
|
|
B |
|
|
|
C |
2 |
|
|
D |
|
|
|
E |
4 |
|
|
Perbandingan jarak tembakan dua buah peluru yang ditembakkan dari sebuah senapan dengan sudut elevasi |
||
|
A |
|
|
|
B |
1 : |
|
|
C |
1 : 1 |
|
|
D |
1 : 2 |
|
|
E |
2 : 3 |
|
|
Sebuah peluru ditembakkan dengan kecepatan awal 100 m/s dan sudut elevasinya |
||
|
A |
1 : 4 |
|
|
B |
1 : 3 |
|
|
C |
1 : 2 |
|
|
D |
2 : 1 |
|
|
E |
3 : 1 |
|
|
Dua buah peluru ditembakkan dari sebuah senapan. Jarak tembakkan yang sama akan dihasilkan jika sudut elevasinya … |
||
|
A |
|
|
|
B |
|
|
|
C |
|
|
|
D |
|
|
|
E |
|
|
|
Perhatikan gambar di bawah ini
Jika sistem benda bergerak, gaya gesekan antara balok dan lantai masing-masing sebesar 2 N dan percepatan benda |
||
|
A |
6 |
|
|
B |
10 |
|
|
C |
16 |
|
|
D |
32 |
|
|
E |
64 |
|
|
Perhatikan gambar dibawah ini.
Jika sistem dalam keadaan setimbang, maka perbandingan massa A dan massa B adalah … |
||
|
A |
1 : |
|
|
B |
|
|
|
C |
1 : 2 |
|
|
D |
2 : 1 |
|
|
E |
3 : 1 |
|
|
Balok A, B, C terletak seperti gambar di bawah ini.
Jika massa A = 5 kg, massa B = 3 kg, massa C = 2 kg dan F = 10 N, maka perbandingan besarnya tegangan tali antara A dan B dan besarnya tegangan tali antara B dan C adalah … |
||
|
A |
5 : 3 |
|
|
B |
8 : 5 |
|
|
C |
1 : 1 |
|
|
D |
5 : 8 |
|
|
E |
3 : 5 |
|
|
Berikut ini adalah hal-hal yang berkaitan dengan tegangan permukaan, kapilaritas dan viskositas.
|
||
|
A |
Jika (1), (2), (3) betul |
|
|
B |
Jika (1), (3) betul |
|
|
C |
Jika (2), (4) betul |
|
|
D |
Jika hanya (4) betul |
|
|
E |
Jika (1), (2), (3), (4) betul |
|
|
Berdasarkan gambar bak air di bawah ini, maka kecepatan air yang keluar dari lubang A adalah …
|
||
|
A |
14 m/s |
|
|
B |
10 m/s |
|
|
C |
8 m/s |
|
|
D |
6 m/s |
|
|
E |
4 m/s |
|
|
Kenaikan permukaan fluida yang cekung di dalam pipa kapiler berbanding lurus dengan pertambahan …
|
||
|
A |
(1), (2), (3) betul |
|
|
B |
(1), (3) betul |
|
|
C |
(2), (4) betul |
|
|
D |
(4) betul |
|
|
E |
(1), (2), (3), (4) betul |
|
|
Pada sebuah gelas yang terisi penuh dengan campuran air dan bongkahan es, sebagian air akan tumpah jika seluruh es akan mencair
SEBAB
Massa jenis es lebih kecil dari massa jenis air |
||
|
A |
Pernyataan betul, alasan betul, dan keduanya menunjukkan hubungan sebab akibat |
|
|
B |
Pernyataan betul, alasan betul, tetapi keduanya tidak menunjukkan hubungan sebab akibat |
|
|
C |
Pernyataan betul dan alasan salah |
|
|
D |
Pernyataan salah dan alasan betul |
|
|
E |
Pernyataan dan alasan keduanya salah |
|
|
|
||
|
A |
|
|
|
B |
8 |
|
|
C |
6,24 |
|
|
D |
12,48 |
|
|
E |
|
|
|
|
||
|
A |
2 |
|
|
B |
3 |
|
|
C |
|
|
|
D |
|
|
|
E |
|
|
|
Zat naik sampai ketinggian tertentu dalam pipa kapiler yang jari – jarinya r dan massa zat cair yang diangkat dalam pipa kapiler adalah M. Jika jari – jari pipa diubah menjadi 2r, agar tegangan permukaan tetrap maka massa zat cair yang naik dalam pipa kapiler adalah … |
||
|
A |
M |
|
|
B |
2M |
|
|
C |
|
|
|
D |
|
|
|
E |
|
|
|
Sepotong kaca di udara memiliki berat 25 N. Jika dimasukkan ke dalam air beratnya menjadi 15 N. Bila massa jenis air |
||
|
A |
2 |
|
|
B |
5 |
|
|
C |
2,5 |
|
|
D |
5,2 |
|
|
E |
25 |
|
|
|
||
|
A |
2 |
|
|
B |
2,4 |
|
|
C |
4,2 |
|
|
D |
4,4 |
|
|
E |
8,2 |
|
































= 4 m/s ke kiri. Setelah membentur tembok memantul dengan kecepatan
= 2 m/s ke kanan. Besar impuls yang dihasilkan adalah …
= 60 meter
= 60 meter
= 90 meter
= 100 meter
= 100 meter
. Peristiwa yang terjadi adalah …
. Jika pada mulanya posisi sudat benda sama dengan nol, maka posisi sudut benda pada saat t = 2 detik adalah …
. Jika jarak terjauh peluru sama dengan tinggi maksimumnya maka nilai tan
adalah …

dan
adalah …

. Perbandingan titik tertinggi dan titik terjauh yang dapat dicapai peluru adalah …





, besar tegangan tali pada kedua balok tersebut adalah … N














dan percepatan gravitasinya
maka massa jenis kaca adalah …